SESIÓN 29: INTRODUCCIÓN A LAS PROBABILIDADES

 Propósito de la sesión:

Determinamos las condiciones de una situación aleatoria y representamos su probabilidad mediante la regla de Laplace y, a partir de este valor, determinamos si un suceso es más o menos probable que otro. Asimismo, justificamos con ejemplos sobre la probabilidad de ocurrencia de sucesos y corregimos errores si los hubiera.

Saberes previos:

Se lanzan dos dados una sola vez. A partir de ello, determina la probabilidad de que salgan números pares


Repasemos:

¿En alguna oportunidad has comprado un boleto de rifa? Imagina que los boletos están enumerados del 001 al 100. ¿Puedes saber, de antemano, cuál será el número premiado? No hay manera de saber el resultado, puede salir el boleto con cualquier número como 020; 014; 020; 085; etc.

Comprar un boleto de rifa es un experimento aleatorio porque no se puede saber de antemano cuál será el número premiado, pero sí conocer todos los posibles resultados. 

De otro lado, ¿puedes saber con certeza cuál es tu estatura? Claro que sí, con ayuda de una cinta métrica puedes medir tu estatura, una y otra vez, obteniendo similares resultados. 

Medir tu estatura es un experimento determinístico porque se puede predecir su resultado. 

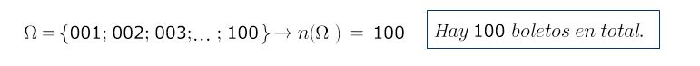
En el experimento aleatorio de comprar un boleto para la rifa, ¿Cuáles y cuántos son los posibles resultados?

Los posibles resultados son los números de los boletos del talonario: 001; 002; 003; …y 100. 

• El conjunto de todos los posibles resultados es el espacio muestral.

Supongamos que esperas que suceda algo. Por ejemplo, que el número premiado termine en cero. Eso es lo que llamamos un suceso. 

De todos los resultados posibles, seleccionaremos cuáles cumplen con esa condición.

Definimos el suceso A: que el número premiado termine en cero. • Representamos el suceso A como un conjunto:


Hay 10 resultados favorables al suceso A.


El espacio muestral (Ω) es el conjunto de todos los posibles resultados.

Un suceso (A) es un subconjunto del espacio muestral. 

Para calcular la probabilidad del suceso A, se halla el cociente entre el número de casos favorables a A y el número de casos posibles

Situación significativa:

El trasporte interprovincial y los protocolos de salud 

Al reactivarse los servicios de trasporte, suspendidos temporalmente debido al estado de emergencia, y con la finalidad de captar a una mayor cantidad de usuarios, una empresa sorteará viajes de ida y vuelta a diversos destinos nacionales entre sus clientes frecuentes. Para ello, se preparan dos urnas con los contenidos que se indican. 

  1. Pablo, un cliente frecuente, ha sido seleccionado para sacar un boleto de cada urna. ¿Cuál es la probabilidad de que saque un boleto de viaje al Cusco en la urna 1?, ¿y en la urna 2? 
  2. Si la empresa de trasporte decidiera tener una sola urna y juntase todos los boletos, ¿Cuál será la probabilidad de que al extraer un boleto resultara ser para Arequipa? 
  3. Un cliente frecuente desearía viajar a Arequipa. Si es informado del contenido de cada urna, ¿Cuál urna le convendría escoger al sacar su boleto?
Solución
  1. Pablo, un cliente frecuente, ha sido seleccionado para sacar un boleto de cada urna. ¿Cuál es la probabilidad de que saque un boleto de viaje al Cusco en la urna 1? 
a) El espacio muestral:
Ω = {Puno, Arequipa, Arequipa, Arequipa, Arequipa, Cusco, Cusco}
b) El evento o suceso:
A = {Cusco}
c) Entonces:
P (A) = n(A)/n(Ω)
P(A)= 2/7 = 0,2857  x 100% = 28,57%
Respuesta: La probabilidad es del 28,57%.

¿y en la urna 2? 

a) El espacio muestral:
Ω = {Ayacucho, Trujillo, Tacna, Arequipa,  Arequipa, Arequipa, Cusco}
b) El evento o suceso:
A = {Cusco}

c) Entonces:
P (A) = n(A)/n(Ω)
P(A)= 1/7 = 0,1429  x 100% = 14,29%
Respuesta: La probabilidad es del 14,29%.

2. Si la empresa de trasporte decidiera tener una sola urna y juntase todos los boletos, ¿Cuál será la probabilidad de que al extraer un boleto resultara ser para Arequipa?

a) El espacio muestral:
Ω = {Ayacucho, Trujillo, Tacna, Arequipa,  Arequipa, Arequipa, Cusco, Puno, Arequipa, Arequipa, Arequipa, Arequipa, Cusco, Cusco}
b) El evento o suceso:
A = {Arequipa}
c) Entonces:
P (A) = n(A)/n(Ω)
P(A)= 7/14 = 0,5  x 100% = 50%

Respuesta: La probabilidad es del 50%.

3. Un cliente frecuente desearía viajar a Arequipa. Si es informado del contenido de cada urna, ¿Cuál urna le convendría escoger al sacar su boleto?

URNA 1:
a) El espacio muestral:
Ω = {Puno, Arequipa, Arequipa, Arequipa, Arequipa, Cusco, Cusco}

b) El evento o suceso:
A = {Arequipa}

c) Entonces:
P (A) = n(A)/n(Ω)
P(A)= 4/7 = 0,5714  x 100% = 57,14%

URNA 2:
a) El espacio muestral:

Ω = {Ayacucho, Trujillo, Tacna, Arequipa,  Arequipa, Arequipa, Cusco}
b) El evento o suceso:
A = {Arequipa}

c) Entonces:
P (A) = n(A)/n(Ω)
P(A)= 3/7 = 0,4286  x 100% = 42,86%

Respuesta: Le conviene la Urna 1, por tener mayor porcentaje de probabilidades.


Más situaciones significativas:
¿Cuál es la probabilidad de sacar una bola azul?
¿Cuál es la probabilidad que la segunda canica sea verde?

Obtener cara por lo menos 2 veces al lanzar al aire 3 veces una moneda

Actividad 39: Introducción a las Probabilidades







Profundizamos el tema:



"Experimento aleatorio, espacio muestral y evento o suceso"


Comentarios